参数资料
型号: SC4215ASTRT
厂商: Semtech
文件页数: 7/10页
文件大小: 0K
描述: IC REG LDO FIX/ADJ 2A 8-SOIC
产品培训模块: Power Supplies 101
标准包装: 1
稳压器拓扑结构: 正,固定式或可调式
输出电压: 0.5V,1.2V,可调
输入电压: 1.4 V ~ 6 V
电压 - 压降(标准): -,-,0.3V @ 2A
稳压器数量: 1
电流 - 输出: 2A
电流 - 限制(最小): 2.1A
工作温度: -40°C ~ 105°C
安装类型: 表面贴装
封装/外壳: 8-SOIC(0.154",3.90mm Width)裸露焊盘
供应商设备封装: 8-SOIC-EP
包装: 标准包装
产品目录页面: 1358 (CN2011-ZH PDF)
其它名称: SC4215ASDKR
SC4215A
Applications Information (continued)
Introduction
The SC4215A is intended for applications where high
≤50kΩ). A suitable value for R2 can be chosen in the range
of 1kΩ to 50kΩ. R1 can then be calculated from.
current capability and very low dropout voltage are
required. It provides a very simple, low cost solution that
uses very little PCB real estate. Additional features include
R 1 = R 2 ?
( V O ? V REF )
V REF
an enable pin to allow for a very low power consumption
standby mode, and a fully adjustable output.
Component Selection
Input capacitor: A large bulk capacitance ≥ 10 μF/A
(output load) should be closely placed to the input supply
pin of the SC4215A to ensure that Vin does not sag below
1.4V. Also a minimum of 4.7μF ceramic capacitor is recom-
mended to be placed directly next to the Vin pin. This
allows for the device being some distance from any bulk
capacitance on the rail. Additionally, input droop due to
load transients is reduced, improving load transient
response. Additional capacitance may be added if required
by the application.
Output capacitor: A minimum bulk capacitance of ≥
10μF/A (output load), along with a 0.1μF ceramic decou-
pling capacitor is recommended. Increasing the bulk
capacitance will improve the overall transient response.
The use of multiple lower value ceramic capacitors in par-
allel to achieve the desired bulk capacitance will not cause
stability issues. Although designed for use with ceramic
output capacitors, the SC4215A is extremely tolerant of
The highest output voltage achievable with external resis-
tors is 4V. An attempt to set a higher voltage may result in
V FB(TH) not being exceeded which will force the device into
the 1.2V output mode.
The SC4215H does not have this limitation and is recom-
mended for applications requiring V O above 3.8V.
Enable: Pulling this pin below 0.4V turns the regulator off,
reducing the quiescent current to a fraction of its operat-
ing value. A pull up resistor up to 400kOhms should be
connected from this pin to the VIN pin in applications
where supply voltages of Vin < 1.9V are required. For
applications with higher voltages than 1.9V, EN pin could
be left open or connected to VIN.
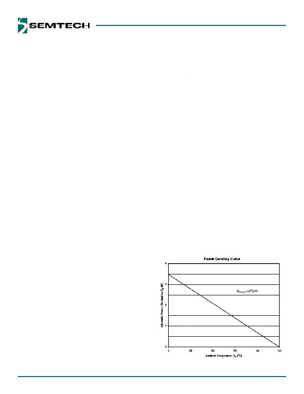
Thermal Considerations
The power dissipation in the SC4215A is given by:
P D ≈ I O ? ( V IN ? V O )
The allowable power dissipation will be dependant on the
thermal impedance achieved in the application. The derat-
ing curve below is valid for the thermal impedance speci-
fied in the Thermal Information section on page 3.
output capacitor ESR values and thus will also work com-
fortably with tantalum output capacitors.
Noise immunity: In very electrically noisy environments,
it is recommended that 0.1μF ceramic capacitors be placed
from IN to GND and OUT to GND as close to the device
pins as possible.
Internal voltage selection: By connecting the FB pin to
GND, an internal resistor divider will regulate the output
voltage to 1.2V.
If the FB pin is connected directly to the VO pin, the output
voltage will be regulated to the 0.5V internal reference.
External voltage selection resistors: The use of 1%
resistors, and designing for a current flow ≥ 10μA is rec-
ommended to ensure a well regulated output (thus R2
7
相关PDF资料
PDF描述
SC4215HSETRT IC REG LDO ADJ 2A 8-SOIC
SC4216HSETRT IC REG LDO ADJ 3A 8-SOIC
SC4216STRT IC REG LDO FIX/ADJ 3A 8-SOIC
SC431CSK-.5TRT IC VREF SHUNT ADJ SOT-23-3
SC431LCSK-25TRT IC VREF SHUNT ADJ SOT-23-3
相关代理商/技术参数
参数描述
SC4215EVB 制造商:SEMTECH 制造商全称:Semtech Corporation 功能描述:Very Low Input /Very Low Dropout 2 Amp Regulator With Enable
SC4215H 制造商:SEMTECH 制造商全称:Semtech Corporation 功能描述:Very Low Input /Very Low Dropout 2 Amp Regulator With Enable
SC4215HEVB 制造商:SEMTECH 制造商全称:Semtech Corporation 功能描述:Very Low Input /Very Low Dropout 2 Amp Regulator With Enable
SC4215HSETRT 功能描述:IC REG LDO ADJ 2A 8-SOIC RoHS:是 类别:集成电路 (IC) >> PMIC - 稳压器 - 线性 系列:- 标准包装:1 系列:- 稳压器拓扑结构:正,固定式 输出电压:3.3V 输入电压:4.7 V ~ 15 V 电压 - 压降(标准):1.2V @ 800mA 稳压器数量:1 电流 - 输出:800mA(最小值) 电流 - 限制(最小):800mA 工作温度:0°C ~ 125°C 安装类型:表面贴装 封装/外壳:TO-252-3,DPak(2 引线+接片),SC-63 供应商设备封装:PowerFlex/TO-252 包装:剪切带 (CT) 其它名称:296-31967-1
SC4215IEVB 制造商:SEMTECH 制造商全称:Semtech Corporation 功能描述:Very Low Input /Very Low Dropout 2 Amp Regulator With Enable