参数资料
型号: SC4216HSETRT
厂商: Semtech
文件页数: 7/10页
文件大小: 0K
描述: IC REG LDO ADJ 3A 8-SOIC
标准包装: 1
稳压器拓扑结构: 正,可调式
输出电压: 可调至 0.5V
输入电压: 1.45 V ~ 5.5 V
电压 - 压降(标准): 0.45V @ 3A
稳压器数量: 1
电流 - 输出: 3A(最小值)
电流 - 限制(最小): 3.5A
工作温度: -40°C ~ 105°C
安装类型: 表面贴装
封装/外壳: 8-SOIC(0.154",3.90mm Width)裸露焊盘
供应商设备封装: 8-SOIC-EP
包装: 标准包装
其它名称: SC4216HSEDKR
SC4216H
Applications Information (continued)
Introduction
The SC4216H is intended for applications where high
≤50kΩ). A suitable value for R2 can be chosen in the range
of 1kΩ to 50kΩ. R1 can then be calculated from.
current capability and very low dropout voltage are
required. It provides a very simple, low cost solution that
uses very little PCB real estate. Additional features include
an enable pin to allow for a very low power consumption
R 1 = R 2 ?
( V O ? V REF )
V REF
standby mode, and a fully adjustable output.
The SC4216H is especially recommended for applications
where VO>3.8V, for lower output voltage requirements
the SC4216 can be considered.
Component Selection
Input capacitor: A large bulk capacitance ≥ 10μF/A
(output load) should be closely placed to the input supply
pin of the SC4216H to ensure that Vin does not sag below
1.45V. Also a minimum of 4.7μF ceramic capacitor is rec-
ommended to be placed directly next to the Vin pin. This
allows for the device being some distance from any bulk
capacitance on the rail. Additionally, input droop due to
load transients is reduced, improving load transient
response. Additional capacitance may be added if required
by the application.
Enable: Pulling this pin below 0.4V turns the regulator off,
reducing the quiescent current to a fraction of its operat-
ing value. A pull up resistor up to 400kOhms should be
connected from this pin to the VIN pin in applications
where supply voltages of Vin < 1.9V are required. For
applications with higher voltages than 1.9V, EN pin could
be left open or connected to VIN.
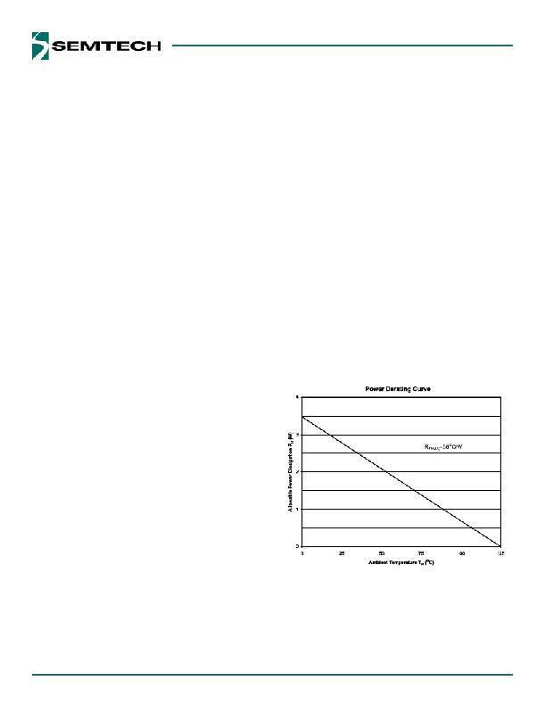
Thermal Considerations
The power dissipation in the SC4216H is given by:
P D ≈ I O ? ( V IN ? V O )
The allowable power dissipation will be dependant on the
thermal impedance achieved in the application. The derat-
ing curve below is valid for the thermal impedance speci-
fied in the Thermal Information section on page 3.
Output capacitor: A minimum bulk capacitance of ≥
10μF/A (output load), along with a 0.1μF ceramic decou-
pling capacitor is recommended. Increasing the bulk
capacitance will improve the overall transient response.
The use of multiple lower value ceramic capacitors in par-
allel to achieve the desired bulk capacitance will not cause
stability issues. Although designed for use with ceramic
output capacitors, the SC4216H is extremely tolerant of
output capacitor ESR values and thus will also work com-
fortably with tantalum output capacitors.
Noise immunity: In very electrically noisy environments,
it is recommended that 0.1μF ceramic capacitors be placed
from IN to GND and OUT to GND as close to the device
pins as possible.
Internal voltage selection: By connecting the FB pin
directly to the VO pin, the output voltage will be regulated
to the 0.5V internal reference.
External voltage selection resistors: The use of 1%
resistors, and designing for a current flow ≥ 10μA is rec-
ommended to ensure a well regulated output (thus R2
7
相关PDF资料
PDF描述
SC4216STRT IC REG LDO FIX/ADJ 3A 8-SOIC
SC431CSK-.5TRT IC VREF SHUNT ADJ SOT-23-3
SC431LCSK-25TRT IC VREF SHUNT ADJ SOT-23-3
SC4501MLTRT IC REG BOOST ADJ 2A 10MLPD
SC4502HMLTRT IC REG BOOST ADJ 1.4A 10MLPD
相关代理商/技术参数
参数描述
SC4216STRT 功能描述:IC REG LDO FIX/ADJ 3A 8-SOIC RoHS:是 类别:集成电路 (IC) >> PMIC - 稳压器 - 线性 系列:- 标准包装:1 系列:- 稳压器拓扑结构:正,固定式 输出电压:3.3V 输入电压:4.7 V ~ 15 V 电压 - 压降(标准):1.2V @ 800mA 稳压器数量:1 电流 - 输出:800mA(最小值) 电流 - 限制(最小):800mA 工作温度:0°C ~ 125°C 安装类型:表面贴装 封装/外壳:TO-252-3,DPak(2 引线+接片),SC-63 供应商设备封装:PowerFlex/TO-252 包装:剪切带 (CT) 其它名称:296-31967-1
SC4217 制造商:SEMTECH 制造商全称:Semtech Corporation 功能描述:Very Low Input /Very Low Dropout 3 Amp Regulator With Enable
SC4217_09 制造商:SEMTECH 制造商全称:Semtech Corporation 功能描述:Very Low Input /Very Low Dropout 3 Amp Regulator With Enable
SC4217EVB 制造商:SEMTECH 制造商全称:Semtech Corporation 功能描述:Very Low Input /Very Low Dropout 3 Amp Regulator With Enable
SC4217MTRT 制造商:Semtech Corporation 功能描述:LDO Regulator Pos 1.24V 3A 6-Pin(5+Tab) TO-263 T/R 制造商:Semtech 功能描述:LDO Regulator Pos 1.24V 3A 6-Pin(5+Tab) TO-263 T/R