参数资料
型号: CMPWR330SF
厂商: ON Semiconductor
文件页数: 6/10页
文件大小: 0K
描述: IC REG LDO 3.3V .4A SOIC8
产品变化通告: Product Discontinuation 30/Sept/2011
标准包装: 2,500
系列: SmartOR™
稳压器拓扑结构: 正,固定式
输出电压: 3.3V
输入电压: 最高 5.25V
稳压器数量: 1
电流 - 输出: 400mA(最小值)
工作温度: 0°C ~ 70°C
安装类型: 表面贴装
封装/外壳: 8-SOIC(0.154",3.90mm 宽)
供应商设备封装: 8-SOICN
包装: 带卷 (TR)
CMPWR330
PERFORMANCE INFORMATION (Cont’d)
CMPWR330 Typical DC Characteristics (cont’d, nominal conditions unless specified otherwise)
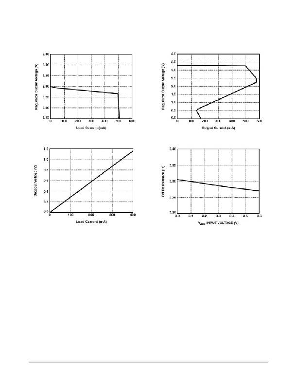
Figure 7. Load Regulation (5 V Supply)
Figure 9. Regulation Dropout Characteristics
Figure 8. Foldback Current Limit Protection
Figure 10. Switch Resistance vs. V AUX Supply
http://onsemi.com
6
相关PDF资料
PDF描述
CNY17-1X007 OPTOCOUPLER PHOTOTRANSISTOR
CNY17F4TM OPTOCOUPLER PHOTOTRANS 6-DIP
CP2-HA110-GA4-G30 CONN HEADER TYPE A 110POS GOLD
CP2-HAB125-E1-KR HEADER PRESS-FIT TYPE AB 125POS
CP2-HB110-GA4-G30 CONN HEADER TYPE-B 110POS GOLD
相关代理商/技术参数
参数描述
CMPZ4099 制造商:CENTRAL 制造商全称:Central Semiconductor Corp 功能描述:SURFACE MOUNT LOW NOISE SILICON ZENER DIODE 6.8 VOLTS THRU 43 VOLTS 350mW
CMPZ4099_10 制造商:CENTRAL 制造商全称:Central Semiconductor Corp 功能描述:SURFACE MOUNT LOW NOISE SILICON ZENER DIODE 6.8 VOLTS THRU 43 VOLTS 350mW
CMPZ4100 制造商:CENTRAL 制造商全称:Central Semiconductor Corp 功能描述:SURFACE MOUNT LOW NOISE SILICON ZENER DIODE 6.8 VOLTS THRU 43 VOLTS 350mW
CMPZ4101 制造商:CENTRAL 制造商全称:Central Semiconductor Corp 功能描述:LOW NOISE ZENER DIODE 6.8 VOLTS THRU 43 VOLTS 350mW,5% TOLERANCE
CMPZ4102 制造商:CENTRAL 制造商全称:Central Semiconductor Corp 功能描述:SURFACE MOUNT LOW NOISE SILICON ZENER DIODE 6.8 VOLTS THRU 43 VOLTS 350mW