参数资料
型号: CMPWR150SF
厂商: ON Semiconductor
文件页数: 9/10页
文件大小: 0K
描述: IC REG LDO 3.3V .5A SOIC8
产品变化通告: Product Discontinuation 30/Sept/2011
标准包装: 2,500
系列: SmartOR™
稳压器拓扑结构: 正,固定式
输出电压: 3.3V
输入电压: 4.5 V ~ 5.5 V
稳压器数量: 1
电流 - 输出: 500mA(最小值)
电流 - 限制(最小): 500mA
工作温度: 0°C ~ 70°C
安装类型: 表面贴装
封装/外壳: 8-SOIC(0.154",3.90mm 宽)
供应商设备封装: 8-SOICN
包装: 带卷 (TR)
CMPWR150
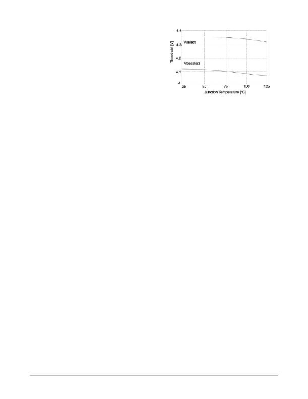
Thresholds vs. Temperature. Figure 14 shows the
regulator select/deselect threshold variation up to the
maximum rated junction temperature. The overall 100 ° C
change in junction temperature causes a 30 mV variation in
the select threshold voltage (regulator enable). The deselect
threshold level varies about 50 mV over the 100 ° C change
in junction temperature. This results in the built ? in
hysteresis having minimal variation over the entire
operating junction temperature range.
Figure 14. Threshold vs. Temperature
http://onsemi.com
9
相关PDF资料
PDF描述
CMPWR330SF IC REG LDO 3.3V .4A SOIC8
CNY17-1X007 OPTOCOUPLER PHOTOTRANSISTOR
CNY17F4TM OPTOCOUPLER PHOTOTRANS 6-DIP
CP2-HA110-GA4-G30 CONN HEADER TYPE A 110POS GOLD
CP2-HAB125-E1-KR HEADER PRESS-FIT TYPE AB 125POS
相关代理商/技术参数
参数描述
CMPWR150TO 制造商:CALMIRCO 制造商全称:California Micro Devices Corp 功能描述:500mA/3.3V SMARTOR Power Regulator
CMPWR150TO/R 制造商:未知厂家 制造商全称:未知厂家 功能描述:Industrial Control IC
CMPWR150TO/T 制造商:未知厂家 制造商全称:未知厂家 功能描述:Industrial Control IC
CMPWR150TOR 制造商:CALMIRCO 制造商全称:California Micro Devices Corp 功能描述:500mA/3.3V SMARTOR Power Regulator
CMPWR150TOT 制造商:CALMIRCO 制造商全称:California Micro Devices Corp 功能描述:500mA/3.3V SMARTOR Power Regulator